1. Contexte et introduction méthodologique
L’édition 2026 du rapport Long-Term Capital Market Assumptions (LTCMAs) de J.P. Morgan Asset Management représente une étape crucial dans l’analyse des prévisions économiques à long terme, en s’inscrivant dans la continuité d’une démarche amorcée il y a trois décennies. Ce rapport, qui adopte une approche « building blocks », intègre les perspectives de plus de cent gestionnaires et stratèges, enrichissant ainsi le cadre décisionnel pour l’élaboration de portefeuilles institutionnels. La méthodologie se base sur des projections quantifiées qui visent à capturer les dynamiques sous-jacentes des marchés financiers tout en tenant compte des évolutions socio-économiques contemporaines.

Le contexte actuel est marqué par des enjeux majeurs tels que l’essor du nationalisme économique, qui se traduit par des obstacles commerciaux accrus et des limitations à l’immigration. Ces changements mettent en lumière une évolution des rapports commerciaux internationaux, avec des impacts potentiels sur la liquidité des marchés et la diversification des actifs. Parallèlement, le soutien actif à la relance, via des dépenses tant publiques que ‘privées‘, souligne une volonté politique forte d’encourager la croissance économique, particulièrement après les bouleversements causés par la pandémie de COVID-19. Cette dynamique pourrait influencer les taux d’intérêt et les rendements des actifs financiers à long terme.
Enfin, l’accélération de l’adoption des technologies, notamment par le biais de l’intelligence artificielle, de l’automatisation et de la transition énergétique, représente un facteur d’innovation déterminant dans l’évolution des marchés. L’impact de ces transformations technologiques sur les modèles d’investissement et la gestion des risques sera au cœur des réflexions de ce rapport. Ainsi, l’analyse qui en découle appelle à une réévaluation continue des stratégies d’allocation d’actifs, afin d’assurer la résilience et la durabilité des portefeuilles institutionnels face à un environnement en constante mutation.

2. Décomposition des rendements attendus : méthodologie des « Building Blocks »
2.1. Cadre général
La décomposition des rendements attendus constitue une approche analytique essentielle pour les gestionnaires d’actifs, permettant de mieux comprendre les sources de performance des différentes classes d’actifs. Les Long-Term Capital Market Assumptions (LTCMAs) adoptent une méthodologie bottom-up, qui se base sur une série de blocs de construction interconnectés.

Tout d’abord, le rendement total d’une classe d’actifs se décompose en trois composantes principales : la composante sans risque, la prime de risque et les ajustements cycliques. La composante sans risque représente les taux neutres dans le cycle économique, fournissant ainsi un socle stable pour l’évaluation des actifs. Ensuite, la prime de risque prend en compte divers facteurs tels que le risque de crédit, de duration, de liquidité et de change, qui influencent directement les expectatives de rendement.
Dans le cadre des actions, la formule employée est la suivante :
Requity = Dividend yield + Croissance des bénéfices + Changement de valorisation + Effet de change
Ici, la croissance des bénéfices est modélisée explicitement par des facteurs macroéconomiques tels que la croissance du PIB nominal, les marges bénéficiaires, qui peuvent bénéficier d’une résilience accrue grâce à l’intelligence artificielle, ainsi que les rachats d’actions.
Pour ce qui est des obligations, le rendement peut être exprimé comme suit :
Rbond = Yield de départ + Roll down + Changement des taux + Prime de crédit
Les hypothèses établies pour 2026 intègrent une prime de terme accrue, de l’ordre de +10 points de base aux États-Unis, pour atteindre 120 points de base. Ceci reflète une préoccupation persistante concernant l’incertitude inflationniste, influençant ainsi la dynamique des rendements obligataires. Cette approche systématique permet aux investisseurs d’anticiper les rendements futurs avec une meilleure précision, en tenant compte des diverses forces du marché.

2.2. Comparaison intertemporelle des hypothèses clés
L’analyse comparative des hypothèses clés pour les périodes LTCMA 2025 et LTCMA 2026 met en lumière plusieurs tendances significatives au sein des marchés financiers.
Premièrement, le rendement des actions mondiales en USD montre une légère réduction, passant de 7,1 % à 7,0 %, avec une diminution de 10 points de base. Cela témoigne d’un repli modéré malgré la résilience observée dans les bénéfices des entreprises. Ce phénomène pourrait être attribué à une volatilité accrue sur les marchés ainsi qu’à des anticipations de ralentissement économique.
En ce qui concerne le rendement des bons du Trésor américain à 10 ans, on constate une hausse notable de 4,2 % à 4,6 %, soit un bond de 40 points de base. Cette évolution est principalement influencée par l’augmentation des taux neutres et de la prime de terme, ce qui reflète les ajustements du marché face aux attentes de resserrement monétaire de la part de la Réserve fédérale.
Le rendement du portefeuille 60/40 demeure stable à 6,4 % pour les deux années analysées. Cette stabilité peut être interprétée comme un équilibre entre la hausse des taux d’intérêt et des valorisations élevées observées sur les marchés d’actions. En outre, le Sharpe Ratio pour ce même portefeuille reste constant autour de 0,35, suggérant une légère amélioration des performances des obligations souveraines, qui compense les fluctuations des actions.
Concernant les indicateurs d’inflation et de croissance à long terme aux États-Unis, l’inflation progresse légèrement de 2,4 % à 2,5 %, avec une augmentation de 10 points de base, en partie en raison de pressions fiscales et de contraintes commerciales. En revanche, la croissance à long terme diminue de 2,0 % à 1,8 % (baisse de 20 points de base), illustrant les impacts négatifs liés aux restrictions migratoires et au vieillissement démographique.
Ces données soulignent l’importance de suivre attentivement les dynamiques macroéconomiques pour ajuster les stratégies d’investissement et de gestion des risques.
3. Modélisation des régimes de volatilité et des corrélations conditionnelles
3.1 Volatilité inflationniste et des taux
Le cadre macroéconomique contemporain identifie trois régimes majeurs influençant les dynamiques de volatilité. Premièrement, dans un contexte de choc de demande négatif, tel qu’une récession, on observe une corrélation négative entre les actions et les obligations. Cela résulte d’une fuite vers la sécurité, les investisseurs se tournant vers les actifs obligataires au détriment des actions. En revanche, un choc d’offre négatif, souvent déclenché par des augmentations des coûts, génère une corrélation positive, illustrant une co-mouvement des classes d’actifs face à l’inflation croissante. Enfin, face à des chocs de politique fiscale caractérisés par un déficit non maîtrisé, la corrélation devient également positive, accompagnée d’une volatilité élevée, renforçant l’instabilité des marchés.
Dans les anticipations pour 2026, les régimes 2 et 3 sont surpondérés, intégrant une pondération de 12,5 % pour le scénario « incertitude inflationniste », dépassant ainsi la moyenne historique de 7 %. De plus, la volatilité projetée des Treasuries à long terme est attendue supérieure à celle observée après la crise financière mondiale (GFC).
3.2 Matrice de corrélation conditionnelle
L’analyse de la corrélation projetée entre le S&P 500 et les Treasuries à long terme révèle une légère transition, passant de -0,03 en 2025 à +0,02 en 2026. Cette faible positivité masque une instabilité intrinsèque aux régimes, soulignant la nécessité d’une modélisation via des approches comme les Modèles à Changements de Régime (MSM) ou DCC-GARCH, cruciales pour une gestion de portefeuille efficace.
3.3 Implications pour la diversification
La structure traditionnelle de 60/40 s’avère moins efficace dans les régimes 2 et 3. Par conséquent, il est impératif d’intégrer des actifs décorrélés, tels que l’or, l’immobilier core, et les infrastructures. L’or affiche une corrélation faible/négative avec les actions et obligations, tandis que l’immobilier core offre des rendements réels résilients par le biais de baux longs. Enfin, les stratégies de hedge funds, notamment celles basées sur la valeur relative et les approches macroéconomiques, présentent un alpha décorrélé des betas de marché, offrant ainsi des protections additionnelles dans des contextes volatils.
4. Analyse factorielle et sources de rendement
L’analyse factorielle révèle des éléments macro-économiques clés influençant les rendements sur les marchés financiers. Parmi ceux-ci, le « nationalisme économique » se démarque par son impact négatif sur la croissance mondiale, bien qu’il soit corrélé à une hausse de l’inflation et à une prime de terme accrue. Cette dynamique souligne le paradoxe d’une politique protectionniste qui, tout en protégeant des industries nationales, peut freiner l’expansion économique globale.
En outre, l’« activisme fiscal » apparaît comme un facteur de soutien à court terme pour la croissance. Cependant, il génère également une pression sur les déficits publics, entraînant un « steepening » des courbes des taux d’intérêt. Cette situation pourrait limiter les marges de manœuvre budgétaires à long terme, même si elle stimule l’économie à court terme.
L’« adoption technologique », en particulier dans le domaine de l’intelligence artificielle, représente un troisième facteur déterminant. Son effet positif sur la productivité et la résilience des marges dans les secteurs technologiques contribue à une surperformance notable de ces derniers. Les entreprises qui intègrent ces technologies dans leurs opérations tendent à afficher de meilleurs résultats financiers.
En ce qui concerne la prime de risque des actifs privés, les nouvelles données sur les LTCMAs 2026 indiquent une prime significative. Le Private Equity maintient une prime de 10,2 %, tandis que l’immobilier core américain présente une prime de 8,2 %, soutenue par un Sharpe ratio élevé d’environ 0,55. Le Private Debt, malgré une contraction de 50 points de base, reste à 7,7 %. Ces primes reflètent non seulement une compensation pour l’illiquidité, mais également une exposition à des thèmes d’investissement stratégiques, tels que la technologie ou l’infrastructure, souvent moins accessibles sur les marchés publics.
Enfin, le rendement des actions varie par région, avec des performances notables aux États-Unis (6,7 %), en Europe (7,8 %), au Japon (8,8 %) et sur les marchés émergents (7,8 %). Chaque région présente des contributions variées des taux de change et des bénéfices, intégrant des facteurs locaux spécifiques qui méritent une attention particulière dans toute évaluation d’investissement.
5. Construction de portefeuille optimale : Du 60/40 au 60/40+
5.1. Limites du 60/40 traditionnel
Le modèle classique d’allocation d’actifs 60/40 (60 % actions, 40 % obligations) présente plusieurs limites notables dans le contexte économique contemporain. Premièrement, la corrélation entre actions et obligations devient instable et peut parfois être positive, remettant en question l’efficacité de cette diversification traditionnelle. Deuxièmement, la volatilité inflationniste actuelle, exacerbée par des facteurs géopolitiques et économiques, n’est pas couverte adéquatement par ce modèle, laissant les investisseurs exposés aux risques associés à une érosion de leur pouvoir d’achat. Enfin, ce schéma d’investissement offre une exposition insuffisante aux thèmes de croissance émergents tels que l’intelligence artificielle (IA) ou les infrastructures, qui sont essentiels pour capter la performance des marchés futurs.
5.2. Approche « 60/40+ » avec alternatives diversifiées
Pour surmonter ces limitations, l’approche « 60/40+ » propose une allocation diversifiée qui intègre davantage d’alternatives. Ce modèle se compose de 40 % d’actions mondiales, 30 % d’obligations et 30 % d’alternatives. Parmi ces dernières, on trouve 7,5 % en private equity, 7,5 % en immobilier, 7,5 % en actifs réels, 4,5 % en crédit privé et 3 % en hedge funds. Cette structure vise à mieux équilibrer les performances tout en se prémunissant contre les fluctuations du marché.
5.3. Impact sur le ratio de Sharpe
L’analyse comparative entre le portefeuille 60/40 traditionnel et le portefeuille 60/40+ démontre un rendement annualisé supérieur pour ce dernier, s’élevant à 6,9 % contre 6,4 %. De plus, la volatilité est réduite à 9,7 %, produisant un ratio de Sharpe de 0,44, en hausse de 25 % par rapport au modèle pur, dont le ratio est de 0,35. Ce résultat indique une meilleure compensation du risque et justifie une réallocation vers une approche plus diversifiée.
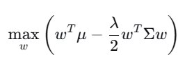
5.4. Optimisation sous contraintes
L’optimisation du portefeuille peut être formalisée mathématiquement comme suit :

sous les contraintes :
wi ≥ 0 (pas de vente à découvert)
∑wi =1
williquid ≤ L (plafond de liquidité)
βinflation ≥ 0 (exposition minimale à l’inflation)
Où μ et Σ sont estimés via les LTCMAs 2026 et ajustés pour les régimes de corrélation.
Dans cette formulation, (mu) représente les rendements espérés et (Sigma) la matrice de covariance, estimées via les LTCMAs 2026 et ajustées selon les régimes de corrélation. Ce cadre permet de maximiser le rendement ajusté au risque tout en respectant des contraintes de liquidité et d’exposition au risque inflationniste.
6. Risques structurels et tests de robustesse
6.1. Scénarios de stress identifiés
La compréhension des risques structurels est essentielle pour évaluer la résilience d’un portefeuille face à des chocs économiques. Parmi les 12 risques identifiés dans le rapport (Exhibit 9), trois scénarios méritent une attention particulière. Premièrement, la résurgence de l’austérité budgétaire pourrait entraîner une baisse significative de la croissance économique, illustrée par un flattening des courbes de rendement. Ce phénomène pourrait limiter les opportunités d’investissement et accentuer les tensions sur les marchés.
Deuxièmement, l’accélération de l’adoption des énergies renouvelables représente une dynamique ambivalente. Si ce mouvement engendre un boom du capital expenditure (capex) et une réduction des coûts énergétiques à moyen terme, il pourrait également déstabiliser les modèles économiques basés sur les énergies fossiles, affectant ainsi la valorisation de nombreux actifs.
Enfin, une cyberattaque majeure peut provoquer un gel des marchés financiers, entraînant un repricing immédiat du risque de liquidité. Ce scénario pourrait exposer les vulnérabilités systémiques des marchés, rendant crucial un outil de suivi de ces risques.
6.2. Backtesting sur chocs historiques
L’analyse historique des performances des portefeuilles offre un éclairage pertinent sur leur comportement face aux crises. Notamment, un portefeuille équilibré 60/40, investi un mois avant l’un des huit chocs majeurs survenus depuis 1990, a démontré sa capacité à surperformer le cash, avec une surperformance moyenne de +7 % après un an dans 75 % des cas, et de +22 % après trois ans dans 100 % des cas. Ces résultats soulignent l’efficacité des stratégies d’allocation d’actifs en période de turbulence.
6.3. Sensibilité aux hypothèses clés
Les variations des conditions économiques influencent profondément les rendements des classes d’actifs. La hausse de la prime de terme génère un impact positif sur les rendements obligataires, mais exerce une pression négative sur la valorisation des actions. De plus, une dépréciation du dollar stimule les actifs non-US, tout en présentant un risque de hedging pour les investisseurs libellés en USD. L’adoption accélérée de l’intelligence artificielle pourrait, quant à elle, conduire à une révision à la hausse de la productivité, soutenant ainsi les marges bénéficiaires des entreprises.
Ces différentes analyses soulignent la nécessité d’une approche proactive dans la gestion des risques structurels, afin d’assurer une robustesse optimale des portefeuilles d’investissement face à un environnement économique volatile.
Recommandations techniques pour l’exécution qui ressortent du rapport
Augmenter la durée des obligations pour capter le roll down dans un environnement de courbe pentue.
Diversifier les devises : sous-pondérer le USD, surpondérer EUR, JPY, CNY.
Intégrer des alternatives décorrélées : immobilier core, infrastructure, hedge funds macro.
Utiliser des véhicules liquides (ETF, fonds evergreen) pour accéder aux actifs privés.
Modéliser les corrélations conditionnelles via des modèles à changement de régime.
Intégrer les facteurs thématiques (nationalisme économique, capex tech) dans les modèles factoriels.
Tester la robustesse via des simulations de Monte Carlo intégrant les scénarios de stress du rapport.
Surveiller l’exposition à l’inflation : utiliser l’or, les TIPS, l’immobilier comme hedge.
Imposer des plafonds de concentration géographique et sectorielle.
Mettre en place des indicateurs avancés de changement de régime (pente de la courbe, spreads de crédit, volatilité implicite).
En conclusion, les LTCMAs 2026 de J.P. Morgan offrent une analyse approfondie d’un environnement d’investissement en constante évolution, où la complexité s’accompagne de nouvelles opportunités. Les rendements des actifs risqués continuent d’attirer l’attention des investisseurs, soutenus par des avancées technologiques majeures et un investissement accru en capital (capex). Cette dynamique suggère que les portefeuilles institutionnels doivent intégrer ces éléments tout en restant vigilants face aux risques émergents.
Parallèlement, la montée des taux d’intérêt et l’accroissement des primes de terme insufflent une nouvelle vitalité aux obligations souveraines, qui redeviennent attractives dans un contexte où la recherche de rendement est primordiale. Cela souligne l’importance d’une approche holistique et nuancée pour la sélection des actifs, permettant de tirer parti des diverses classes d’actifs disponibles.
La question de la diversification prend également une dimension nouvelle, nécessitant l’adoption d’un modèle hybride 60/40+, qui intègre non seulement des actifs traditionnels, mais aussi des investissements alternatifs capables de se décorréler des mouvements du marché et de servir de couverture contre l’inflation persistante. Ce changement témoigne d’une évolution vers une gestion de portefeuille plus sophistiquée.
La rigueur quantitative mise en avant dans cette étude, caractérisée par une méthodologie transparente et des hypothèses clairement définies, confère à ce document un statut de référence incontournable pour les gestionnaires d’actifs. Ainsi, face aux risques identifiés tels que le nationalisme croissant, la volatilité inflationniste et la concentration des investissements, il est impératif d’adopter une gestion active et flexible des allocations. Une modélisation fine des régimes de marché se révèle essentielle pour garantir la robustesse des portefeuilles institutionnels, favorisant ainsi une optimisation continue des performances face aux défis économiques contemporains.
Les hypothèses 2026 de J.P. Morgan AM prévoient un régime macro-financier où la prime d’actions (μ) reste stable (6,4%) mais est affectée par les changes et la valorisation relative. La volatilité obligataire longue (σ) augmente (13,0% pour l’UST 10 ans), et la corrélation action-obligation (ρ) devient légèrement positive (+0,02). Le risque d’inflation (κ) est accru (skew +35%) en raison de scénarios de « stagflation light » plus probables. Les matrices de covariance intègrent les régimes fiscaux, signalant un glissement du risque vers l’inflation et les taux. Les actifs alternatifs (infra-core, crédit privé) sont les seuls à offrir un facteur de déplétion de volatilité (-0,11) par rapport aux obligations américaines.
Ce tableau présente l’alignement entre la méthodologie du module Steelldy et celle de J.P. Morgan (JPM) pour 2026, détaillant les ajustements nécessaires. L’approche BRS (Building-Block Return), qui agrège revenu (4,6 %), marge (1,3 %), multiple (-1,8 %) et FX (0,9 %), est confrontée à un « valuation drag » des grandes capitalisations américaines (-2,9 %), nécessitant un ajustement par un overlay de « cyclical adj. » de -1,4 %.
Pour HRP (Hierarchical Risk Parity), les pondérations de volatilité (UST 13 %, crédit IG 7,4 %, EM Sov 8,8 %) sont ajustées en raison d’une compression de volatilité infra-core de 10,3 %, menant à une surpondération de 1,7x dans le cluster des « actifs réels ».
Le module FCA (Factor Covariance) montre une corrélation (+0,02) entre actions et obligations, nécessitant une plage d’ajustement (pm 0,15) et un stress-test à +0,35 (simulant le régime des années 1970-80).
Enfin, le CMA Forward-Looking (analyse des risques futurs), qui observe une inclinaison de l’inflation positive de +35 %, requiert un calibrage du paramètre de forme (Shape) de la fonction GLP1 à 0,4.
Calibration détaillée des rendements (10-15 ans, USD)
Nous présentons ici une calibration détaillée des rendements attendus (sur 10-15 ans, en USD) pour diverses classes d’actifs en 2026, incluant leur volatilité, leur ratio de Sharpe, leur asymétrie (skew), leur excès de kurtosis (ex-kurt) et la source de risque dominante.
Les actions américaines à grande capitalisation (US Large Cap) sont projetées à 6,7 % avec une volatilité de 16,5 % et un risque dominant lié à la valorisation (-1,8 %/an).
Les actions mondiales (Global ex-US) affichent un rendement légèrement supérieur de 7,5 % (vol. 17,6 %), avec le risque principal provenant des changes (FX).
Les obligations d’État américaines à long terme (US LT Treasuries) sont estimées à 4,6 % (vol. 13,0 %), le risque étant associé à la prime de terme (term-premium de 120 pb).
Le crédit de bonne qualité américain (US IG Credit) est attendu à 5,2 % (vol. 7,4 %), avec un écart (spread) de 150 pb comme facteur de risque principal.
Dans l’immobilier, le segment « Core » américain (US Core RE) présente un rendement de 8,2 % (vol. 11,4 %), soutenu par un taux de capitalisation (cap-rate) de 4,4 % et un rendement de roulement (roll-yield) de 1,9 %.
Les infrastructures de base (Infra Core) sont attendues à 6,5 % (vol. 10,3 %), avec une prime de risque réglementaire de 60 pb comme facteur dominant.
Le Private Equity (PE) offre le rendement le plus élevé à 10,2 % (vol. 19,8 %). Sa décomposition révèle que la croissance de l’EBITDA (5,8 %) est le moteur principal, complétée par le désendettement (1,4 %), mais pénalisée par les frais (fees & carry de 1,2 %). Le risque principal du PE est lié à l’effet de levier et au multiple de sortie (exit-multiple de 11,0×).
Le prêt direct (Direct Lending) est projeté à 7,7 % (vol. 14,0 %), avec une perte attendue sur défaut de 2,5 %.
L’Or affiche un rendement de 5,5 % (vol. 16,7 %), où l’écoulement des banques centrales (Central-bank flow) représente 5 % de la demande.
Références
Analyse de marché
